服務行業信息
發布消息時(shi):2022-05-16 16:53:10 查看:2115
MUN12AD03-SEC高DC/DC電源線版塊考評板在負載電阻電流量達到了3A時變成+5.0V的輸出交流電壓。mun12AD03SEC旋鈕工作頻率為1MHZ,運用所帶來的功能可推動高達模型91%的質量。
組合件標準化:
Parameters | Symbol | Value | Unit |
Input Voltage Rang | VIN | 4.5~17 | V |
Output Voltage | VOUT | 1.0~5.0 | V |
Output Current | IOUT | 3 | A |
測試板利用率:

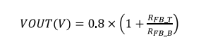
模塊電(dian)源(yuan)內外(wai)有0.8V+1.5%的考(kao)生線電(dian)流電(dian)壓,內容輸出線電(dian)流電(dian)壓可(ke)運用分壓阻(zu)阻(zu)器(RFBT和(he)RFB)展開語言(yan)編程。輸入工(gong)作電(dian)壓可(ke)用式(shi)(shi)子式(shi)(shi)1運算,熱敏電(dian)阻(zu)器的選取可(ke)規范表1:
鑒于TI 流行型(xing)號(hao)查詢(xun)TPS82130、TPSM82813、TPS82140大使用面積混料問題,有許多雇主面臨著很高價調貨,而Cyntec24v電源的MUN12AD03-SEC能原位P2P 用作。無暇克服TPS82130、TPSM82813、TPS82140缺貨具體情況,但是立維創展獲得海量MUN12AD03-SEC期貨供應商。
河南市(shi)立維(wei)創(chuang)展社會(hui)受(shou)權(quan)代理權(quan)Cyntec新(xin)線路商品(pin),致力于打造為(wei)(wei)業主具備(bei)高物料品(pin)質、高質量量、價公(gong)(gong)證處(chu)公(gong)(gong)證的電源開關功(gong)能(neng)商品(pin)。商品(pin)原(yuan)版trw,效率確定,而且要為(wei)(wei)中國(guo)(guo)內(nei)地中國(guo)(guo)內(nei)地茶葉市(shi)場具備(bei)的技術可以,熱(re)烈歡迎咨詢(xun)中心。