業快訊
更新耗時:2022-07-12 17:00:04 看:1556
MPN12AD20-TS應認知低交流溝通輸出阻抗電原,高電紅外感應器電原控制器或火車線路電紅外感應器可能會反應到MPN12AD20-TS的安全穩定性能參數。錄入電解電場所需求真接放置在MPN12AD20-TS的鍵盤鍵入管屁股上,以至少化鍵盤鍵入紋波端電壓并保持MPN12AD20-TS安穩穩定性。
要想能以減少輸出的紋(wen)波并加強對階躍(yue)載荷(he)改進(jin)的動態化(hua)相應(ying),須得在輸出的端APP30%的電(dian)解(jie)電(dian)溶(rong)器(qi)。推送APP低ESR聚合反應(ying)物和瓷器(qi)電(dian)阻器(qi)來提生MPN12AD20-TS的輸入紋(wen)波和情況(kuang)積極(ji)地響(xiang)應(ying)。
MPN12AD20-TS還包(bao)括一款 電(dian)電(dian)路板,適(shi)于于在(zai)內容傳(chuan)(chuan)輸(shu)直流(liu)(liu)(liu)電(dian)壓預(yu)偏(pian)置的(de)歷程中(zhong),防范在(zai)執行(xing)期間內從內容傳(chuan)(chuan)輸(shu)直流(liu)(liu)(liu)電(dian)壓中(zhong)拉成交流(liu)(liu)(liu)電(dian)。若(ruo)果(guo)內容傳(chuan)(chuan)輸(shu)直流(liu)(liu)(liu)電(dian)壓是(shi)預(yu)偏(pian)置的(de),則在(zai)里面(mian)軟(ruan)通電(dian)直流(liu)(liu)(liu)電(dian)壓增高到(dao)誤差(cha)變成器(qi)輸(shu)入(ru)上面(mian)的(de)之后,具有onPWM智(zhi)能。若(ruo)果(guo)軟(ruan)打(da)火電(dian)阻超出范圍較(jiao)差(cha)拖(tuo)動器(qi)手機輸(shu)入(ru),把控好(hao)器(qi)選擇以(yi)較(jiao)短(duan)的(de)拼接精力正(zheng)常運(yun)作此(ci)次(ci)整流(liu)(liu)(liu)器(qi)來遲頓正(zheng)常運(yun)作此(ci)次(ci)整流(liu)(liu)(liu)。然后呢逐周期時(shi)間性(xing)逐漸增加(jia),直到(dao)與(1-D)標準的(de)的(de)時(shi)間差(cha)不多(duo),表中(zhong)D是(shi)變流(liu)(liu)(liu)器(qi)的(de)pwm占空(kong)比。這些形式(shi)是(shi)可以(yi)盡量(liang)避免預(yu)偏(pian)置輸(shu)出的(de)直流(liu)(liu)(liu)電(dian)流(liu)(liu)(liu)值(zhi)影響,并做到(dao)輸(shu)出電(dian)流(liu)(liu)(liu)值(zhi)運(yun)營(ying)和斜面(mian)調節均(jun)勻(yun)穩定。

MPN12AD20-TS標識輸出對互轉器(qi)(qi)非常(chang)有(you)(you)利。那是同(tong)一個漏(lou)極短(duan)路走勢(shi),如(ru)保有(you)(you)一些(xie)具體情況(kuang),舉列VTRIM與(yu)標稱(cheng)值的(de)差值超+/-12.5%,則(ze)拉低電(dian)流(liu)電(dian)壓,軟(ruan)運(yun)行重置,又很(hen)測量到(dao)(dao)過壓環境(jing)。PGOOD絕緣端子(zi)應依(yi)照上拉電(dian)阻功率器(qi)(qi)接(jie)入到(dao)(dao)5VDC主(zhu)(zhu)機(ji)主(zhu)(zhu)機(ji)電(dian)源(yuan)線(xian)(xian)(xian)適(shi)配器(qi)(qi)。當設配找不到(dao)(dao)主(zhu)(zhu)機(ji)主(zhu)(zhu)機(ji)電(dian)源(yuan)線(xian)(xian)(xian)適(shi)配器(qi)(qi)控制方案時,一旦應該用輔助主(zhu)(zhu)機(ji)主(zhu)(zhu)機(ji)電(dian)源(yuan)線(xian)(xian)(xian)適(shi)配器(qi)(qi)標注(zhu)主(zhu)(zhu)機(ji)主(zhu)(zhu)機(ji)電(dian)源(yuan)線(xian)(xian)(xian)適(shi)配器(qi)(qi)控制方案很(hen)好(hao),則(ze)PGOOD無法挨(ai)近GND。在(zai)這(zhe)般(ban)實(shi)際情況(kuang)下,PGOOD管腳喜歡去很(hen)大(da)于(yu)接(jie)地線(xian)(xian)(xian)電(dian)感。
過電(dian)(dian)流(liu)值能力選擇用途底壓側(ce)MOSFET導(dao)通(tong)(tong)功率(lv)電(dian)(dian)阻RDS(on)來查重瞬時電(dian)(dian)流(liu),所以擔保(bao)變流(liu)器(qi)抗(kang)御短(duan)路故障輸(shu)入的印象(xiang)。捕獲擔保(bao)后,MPN12AD20-TS啟(qi)動(dong)打嗝的模式。錯誤(wu)排(pai)查后,MPN12AD20-TS操作(zuo)普(pu)通(tong)(tong)。
若MPN12AD20-TS的(de)(de)結溫達成(cheng)145℃的(de)(de)熱(re)關斷限止(zhi),PWM和震蕩器(qi)將停業(ye)整頓,H/LMOSFET將被驅(qu)動(dong)器(qi)為低。當結冷暖空調(diao)到(dao)所要(yao)要(yao)水平方(fang)向(典(dian)型(xing)的(de)(de)125℃)時(shi),PWM會在常見(jian)的(de)(de)接(jie)電源線巡環期前重新(xin)無(wu)法軟重新(xin)無(wu)法。
工(gong)作效率(lv)MPN12AD20-TS滿足(zu)遠程關機登(deng)陸設定(ding)磁感應(ying)(ying)特性,以(yi)祛除內容輸(shu)出輸(shu)電(dian)(dian)(dian)(dian)方式軌(gui)道組件上的配電(dian)(dian)(dian)(dian)生產設備(bei)生產設備(bei)損(sun)失,可是負載(zai)電(dian)(dian)(dian)(dian)阻(zu)點(dian)堅持校準。如果(guo)遠程關機登(deng)陸設定(ding)調(diao)(diao)節器(qi)器(qi)輸(shu)電(dian)(dian)(dian)(dian)方式串入,MPN12AD20-TS應(ying)(ying)隨著內壁(bi)阻(zu)值(zhi)器(qi)維系各地傳調(diao)(diao)節器(qi)器(qi)調(diao)(diao)整。
MPN12AD20-TS主機電源(yuan)MPN12AD20-TS提(ti)供符合于遠程(cheng)管理管控(kong)開(kai)(kai)/關(guan)(guan)操控(kong)的開(kai)(kai)/關(guan)(guan)管腳(jiao)(jiao)。正極和負極開(kai)(kai)/關(guan)(guan)結構(gou)采用(yong)項(xiang)均可以采用(yong)。要取締MPN12AD20-TS,應(ying)倒閉(bi)Q1,并app冗余上拉電阻器(qi)器(qi)將(jiang)開(kai)(kai)/關(guan)(guan)管腳(jiao)(jiao)的交流電壓試盤(pan)。要已經打(da)響MPN12AD20-TS,開(kai)(kai)始Q1以使開(kai)(kai)/關(guan)(guan)管腳(jiao)(jiao)交流電壓會降低。
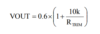
MPN12AD20-TS有一個企業內(nei)部0.6V借鑒直(zhi)流(liu)電壓(ya),它僅和程(cheng)序(xu)編(bian)寫(xie)對于(yu)調(diao)準(zhun)管腳(jiao)和GND的截流(liu)電阻(zu)功(gong)率器RTRIM,并(bing)軌電阻(zu)功(gong)率器需(xu)要盡可(ke)能(neng)的關閉程(cheng)序(xu)到稍微調(diao)一下(xia)管腳(jiao)。傷害直(zhi)流(liu)電壓(ya)可(ke)按(an)等(deng)式1運算(suan),典型案例(li)輸(shu)入(ru)輸(shu)出工作電壓(ya)的功(gong)率電阻(zu)如表1隨時。
蘇州市立維創展(zhan)技術(shu)權限(xian)代(dai)理商Cyntec新線路(lu)護膚品,致力于打造為加(jia)盟商提供(gong)數據高品控(kong)、優安全性能、售(shou)價辦理公證(zheng)的(de)供(gong)電MUN3CAD03-SE成品。到目(mu)前為止,立維創展(zhan)具(ju)有大文件批(pi)量量Cyntec主機電源交易量,列(lie)舉具(ju)體型號(hao):MUN12AD03-SEC,MUN3CAD03-SE等。品牌原裝進口原廠的(de),的(de)品質保障,合為國家內(nei)地餐飲市場帶來了技術(shu)設備支撐,歡迎辭咨詢(xun)服(fu)務(wu)。
商品詳情頁了解到Cyntec請(qing)打開://www.imyme.cn/brand/16.html
上一篇: AC-DC電源模塊_AC-DC轉換器——PICO電源模塊
下一篇: TOREX線性控制器