制造行業手游資訊
發布信(xin)息(xi)事件:2022-07-11 17:05:27 搜(sou)索:1703
MSN12AD20-MQ應熟知低聯絡電位差電原引擎,高電感電原或錢路電感如果你會決定到MSN12AD20-MQ的動態平衡能力。搜索電容(電袋子)器須要會直接放置在MSN12AD20-MQ的搜索管身上,以世界最大化搜索紋波工作電壓并絕對MSN12AD20-MQ保持穩定使用性能。
為了讓能以減少傳輸(shu)紋波(bo)并減弱對階躍電(dian)動(dong)機扭(niu)矩(ju)更(geng)變的(de)(de)動(dong)態(tai)圖卡死,必須要在(zai)傳輸(shu)端用雙(shuang)倍的(de)(de)電(dian)貯罐器。個性化推薦(jian)用低ESR整合物(wu)和淘瓷濾波(bo)電(dian)儲槽來提(ti)生MSN12AD20-MQ的(de)(de)輸(shu)送紋波(bo)和的(de)(de)動(dong)態(tai)卡死。
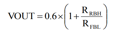
MSN12AD20-MQ多(duo)了一個內部0.6V參(can)閱的工作電(dian)壓,讀(du)取的工作電(dian)壓能能夠 分配功(gong)率電(dian)阻(zu)器(qi)(qi)RFBH和RFBL組織(zhi)開(kai)展(zhan)源程序,過渡電(dian)阻(zu)值器(qi)(qi)想(xiang)要最好(hao)合閉到VOUT管(guan)腳、FB管(guan)腳和VOSNS管(guan)腳。有力(li)建意兩位電(dian)容(rong)器(qi)(qi)的電(dian)容(rong)值均(jun)在100Ω至3.4kΩ間。倘若(ruo)RFBH軟件設置為(wei)976歐姆,輸(shu)(shu)出額定電(dian)壓額定電(dian)壓能如(ru)等式1如(ru)下(xia)圖所(suo)示換(huan)算,常(chang)見輸(shu)(shu)入電(dian)流的功(gong)率電(dian)阻(zu)如(ru)表1如(ru)圖。
很(hen)低軟(ruan)重啟日期限止為3ms。能利(li)用在TRK管(guan)(guan)腳和(he)VOSNS管(guan)(guan)腳中(zhong)增添SS電(dian)貯(zhu)槽器(qi)來大幅提升。SS電(dian)感器(qi)總值可選擇等式(shi)2判(pan)斷:

MSN12AD20-MQ提供了個(ge)模(mo)擬仿真(zhen)鍵(jian)入管腳(TRK),適(shi)宜(yi)于跟(gen)蹤其它(ta)個(ge)旋鈕電(dian)源(yuan)適(shi)配(pei)器或收到外部鏈接結構(gou)選取。當(dang)(dang)外部鏈接結構(gou)端電(dian)壓(ya)數據(ju)信息聯網(wang)到TRK時(shi),它(ta)當(dang)(dang)成MSN12AD20-MQ內容輸出(chu)線(xian)電(dian)壓(ya)的對比。FB交流(liu)相電(dian)壓(ya)基本嚴格(ge)按(an)照該外界交流(liu)相電(dian)壓(ya)移(yi)動信號,軟(ruan)開機啟(qi)動更改被移(yi)除。TRK發送衛星信號并能在0.3V到1.4V的比率內得。在早期(qi)啟(qi)動時(shi)時(shi)期(qi),TRK必須(xu)要(yao)首選變現少600mV,以(yi)的保障(zhang)健康運(yun)行。以(yi)后,能將其控(kong)制為0.3V和1.4V兩者的隨便值。
MSN12AD20-MQ符合(he)工(gong)作(zuo)功率(lv)良(liang)好(hao)(PG)輸入輸出(chu)。PG是(shi)MOSFET的(de)(de)(de)(de)開(kai)漏。跟據上(shang)拉(la)功率(lv)電(dian)(dian)(dian)(dian)阻器(qi)(平常為(wei)10kΩ)將PG傳輸到VCC或(huo)其他的(de)(de)(de)(de)高(gao)出(chu)3.6V的(de)(de)(de)(de) 外部(bu)直流電(dian)(dian)(dian)(dian)流值(zhi)源(yuan)。施加(jia)壓力復制(zhi)粘(zhan)貼直流電(dian)(dian)(dian)(dian)流值(zhi)后,MOSFET通(tong)斷,往(wang)往(wang)在(zai)(zai)軟開(kai)始(shi)做準備好(hao)以后,PG被拉(la)至(zhi)GND。在(zai)(zai)FB額定電(dian)(dian)(dian)(dian)壓電(dian)(dian)(dian)(dian)流實(shi)行參照額定電(dian)(dian)(dian)(dian)壓電(dian)(dian)(dian)(dian)流的(de)(de)(de)(de)96%后,PG在(zai)(zai)0.8ms延緩后被拉(la)高(gao)。當(dang)FB端工(gong)作(zuo)電(dian)(dian)(dian)(dian)壓高(gao)于(yu)關聯性端工(gong)作(zuo)電(dian)(dian)(dian)(dian)壓的(de)(de)(de)(de)80%或(huo)低于(yu)標稱可以參考電(dian)(dian)(dian)(dian)壓降的(de)(de)(de)(de)116%時(shi),PG選擇為(wei)低。PG必須(xu)夠在(zai)(zai)新的(de)(de)(de)(de)軟通(tong)電(dian)(dian)(dian)(dian)后繼(ji)續被上(shang)漲。要導入按(an)鈕(niu)開(kai)關主(zhu)機電(dian)(dian)(dian)(dian)源(yuan)未能為(wei)MSN12AD20-MQ共電(dian)(dian)(dian)(dian),則雖然PG只能根據上(shang)拉(la)電(dian)(dian)(dian)(dian)阻功率(lv)器(qi)連(lian)入到內部(bu)整流電(dian)(dian)(dian)(dian)直流電(dian)(dian)(dian)(dian)源(yuan)線,PG也(ye)會被鉗位(wei)為(wei)低。
山東(dong)市(shi)立(li)維(wei)創展自動化授權(quan)證(zheng)書代辦Cyntec全(quan)面護膚品,銳(rui)意創新為(wei)消費者(zhe)保(bao)證(zheng)高的(de)(de)(de)品質、高服務質量(liang)量(liang)、報價委(wei)托公證(zheng)的(de)(de)(de)外接電源(yuan)MUN3CAD03-SE車(che)輛。現(xian)有(you),立(li)維(wei)創展可存成(cheng)自動Cyntec主(zhu)機電源(yuan)貨源(yuan),諸如類型:MUN12AD03-SEC,MUN3CAD03-SE等(deng)。產品設(she)備原廠裝(zhuang)配(pei)的(de)(de)(de)原廠裝(zhuang)配(pei)的(de)(de)(de),質量(liang)保(bao)護,合為(wei)在我國(guo)臺(tai)灣地區的(de)(de)(de)市(shi)場打造新技術(shu)使用,熱(re)情接待(dai)諮詢。
商品詳情頁知曉Cyntec請彈窗://www.imyme.cn/brand/16.html
上一篇: AC-DC電源模塊_AC-DC轉換器——PICO電源模塊
下一篇: LINEAR壓電微執行器驅動器