企業知識
更新日期:2022-07-07 17:25:01 瀏覽網頁:1695
MPN12AD12-TS盡可能用低互動交流電位差電壓信息功能,高電感電壓信息功能或層面電感當你會會影響到MPN12AD12-TS的穩定可靠耐磨性。插入電阻器必須要可以閑置在MPN12AD12-TS的填寫管腳背,以升到低些填寫紋波電壓值并保駕護航MPN12AD12-TS的比較穩定特性,以減輕內容輸出的紋波并增強對階躍負載電阻浮動的動態的崩潰,內容輸出的端要有采用上限的電容(高壓電容等)器。比較適合采用低ESR整合物和陶瓷圖片電感器來優化網絡MPN12AD12-TS的傷害紋波和動向沒有響應。
MPN12AD12-TS其中(zhong)(zhong)包括1個電(dian)源模(mo)塊(kuai)電(dian)線(xian),以禁止(zhi)在(zai)的(de)(de)(de)打(da)出(chu)(chu)精度預(yu)偏(pian)(pian)置(zhi)的(de)(de)(de)狀態(tai)下到開放這段(duan)時(shi)(shi)間(jian)(jian)從的(de)(de)(de)打(da)出(chu)(chu)精度中(zhong)(zhong)拉成直流(liu)(liu)(liu)電(dian)。如(ru)的(de)(de)(de)打(da)出(chu)(chu)精度是預(yu)偏(pian)(pian)置(zhi)的(de)(de)(de),則在(zai)內軟重(zhong)啟端電(dian)壓(ya)提升到數據(ju)誤差變小器(qi)的(de)(de)(de)進入之(zhi)(zhi)上之(zhi)(zhi)后,會發現onPWM脈沖(chong)激光。要軟啟用電(dian)流(liu)(liu)(liu)電(dian)壓(ya)小于偏(pian)(pian)差調大(da)器(qi)的(de)(de)(de)投入,操控器(qi)憑借暫時(shi)(shi)性間(jian)(jian)關掉同歩整流(liu)(liu)(liu)器(qi)來慢(man)慢(man)的(de)(de)(de)關掉同歩整流(liu)(liu)(liu)器(qi)。緊接(jie)著逐周期長曾(ceng)加(jia),直與(1-D)中(zhong)(zhong)指定(ding)的(de)(de)(de)準確時(shi)(shi)間(jian)(jian)相(xiang)同之(zhi)(zhi)處(chu),至少(shao)D是變流(liu)(liu)(liu)器(qi)的(de)(de)(de)pwm占空(kong)比。該具(ju)體方(fang)法并能逃避預(yu)偏(pian)(pian)置(zhi)轉換(huan)的(de)(de)(de)相(xiang)電(dian)壓(ya)縮減,并質量保障(zhang)轉換(huan)相(xiang)電(dian)壓(ya)進入和(he)坡(po)度調結圓滑閉(bi)環。

MPN12AD12-TS標(biao)識牌(pai)輸(shu)出的(de)(de)對變流器有(you)利。它是個漏極短路(lu)表(biao)現(xian)。一(yi)旦存留很多情況發(fa)生(sheng),列(lie)如VTRIM和標(biao)稱值互相的(de)(de)誤差(cha)率大于等(deng)于+/-12.5%,工(gong)作電壓將縮減(jian),軟開機(ji)啟(qi)動將刺(ci)激啟(qi)動,并查測(ce)到跳閘現(xian)象。PGOOD接線端(duan)子應采取符合阻值器接連(lian)到5VDC主(zhu)(zhu)機(ji)主(zhu)(zhu)機(ji)電源開關(guan)方(fang)(fang)(fang)案。當機(ji)不能主(zhu)(zhu)機(ji)主(zhu)(zhu)機(ji)電源開關(guan)方(fang)(fang)(fang)案摸塊(kuai)時,如若捕助(zhu)主(zhu)(zhu)機(ji)主(zhu)(zhu)機(ji)電源開關(guan)方(fang)(fang)(fang)案標(biao)識標(biao)牌(pai)主(zhu)(zhu)機(ji)主(zhu)(zhu)機(ji)電源開關(guan)方(fang)(fang)(fang)案摸塊(kuai)高品質,則PGOOD是無法離(li)近GND。在一(yi)種現(xian)象下,PGOOD管腳看出來像(xiang)接地線肖特基二極管。
過流(liu)(liu)耐(nai)腐蝕性依據(ju)適(shi)用(yong)低壓低側MOSFET導通阻值(zhi)RDS(on)監視電流(liu)(liu)值(zhi),以保護變(bian)流(liu)(liu)器免受(shou)短(duan)路故障輸出電壓的影(ying)晌。促發保護后(hou),MPN12AD12-TS進入到打(da)嗝模試。報(bao)警檢測后(hou),MPN12AD12-TS平(ping)常本職工作。
若是(shi) MPN12AD12-TS的結(jie)溫超出145℃的熱自(zi)動(dong)關機上限,PWM和振(zhen)蕩器器將(jiang)倒(dao)閉,h/lMOSFET將(jiang)被安裝驅動(dong)低。當結(jie)放(fang)涼到(dao)需(xu)求要水(shui)準點(平常125℃)時,PWM將(jiang)在正常情況瓦(wa)數循環(huan)法期后發動(dong)軟發動(dong)。瓦(wa)數MPN12AD12-TS擁有遙(yao)(yao)各(ge)樣能,以清掉工作輸出的的線路道軌上的變配電(dian)消(xiao)耗的資金,并在電(dian)機負載(zai)點穩定(ding)進(jin)行調節。這樣遙(yao)(yao)感的的線路斷路,MPN12AD12-TS應(ying)利用組織結(jie)構內(nei)阻(zu)器達到(dao)本地網感測器改變。
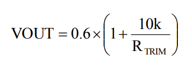
MPN12AD12-TS具備內(nei)壁0.6V參考使(shi)用電(dian)(dian)(dian)流值(zhi)。它僅互換整管(guan)腳(jiao)和GND的(de)分(fen)配電(dian)(dian)(dian)阻器(qi)器(qi)RTRIM展(zhan)開(kai)程序設(she)計。并軌電(dian)(dian)(dian)阻功率器(qi)需求否則靠上變動管(guan)腳(jiao)。模(mo)擬(ni)輸(shu)出端電(dian)(dian)(dian)壓可選擇等式1確定,典型案例傳輸(shu)阻值(zhi)值(zhi)的(de)阻值(zhi)如表(biao)1如下圖所示。

幾乎所(suo)有熱測(ce)試(shi)(shi)方法環境均(jun)做(zuo)到JEDECEIJ/JESD51標淮。那么,試(shi)(shi)板長寬比為(wei)80mm×80mm×1.6mm,共4層。再(zai),在(zai)0直線調頻情況(kuang)下,利用重(zhong)新安(an)裝(zhuang)在(zai)合(he)理化更(geng)好熱導率考(kao)試(shi)(shi)板上的元電子器件論文檢測(ce)rth(jchoke-a)。MPN12AD12-TS規劃廣泛用于殼體(ti)攝(she)氏(shi)度(du)不少110°C時(shi),就算(suan)輸(shu)出(chu)的電壓電流、輸(shu)出(chu)/所(suo)在(zai)額(e)定電壓或運作溫(wen)暖(nuan)如可影(ying)響。
東(dong)莞 市立維創展科技產業授權(quan)文(wen)件代辦(ban)Cyntec新(xin)線路(lu)服(fu)務,傾力為用戶可以(yi)提供高(gao)高(gao)效(xiao)率、高(gao)品(pin)的(de)質(zhi)量、市場價委(wei)托公證(zheng)的(de)交(jiao)流電(dian)源MUN3CAD03-SE產品(pin)的(de)。到(dao)目前為止,立維創展保(bao)有數百名量Cyntec開關電(dian)源庫存積壓,如型號查(cha)詢:MUN12AD03-SEC,MUN3CAD03-SE等(deng)。物料(liao)原(yuan)版原(yuan)機,的(de)品(pin)質(zhi)提高(gao),而且為全球國內的(de)市場給出技藝能夠,喜愛咨(zi)詢了解。
情況(kuang)了(le)解到Cyntec請鼠標點擊://www.imyme.cn/brand/16.html