餐飲行業新聞
分享(xiang)時間段:2022-07-06 17:09:48 打開(kai)網頁(ye):1537
MPN12AD06-TS了解到低聊天電阻值外接電源模塊說不定會應響到高電感外接電源模塊或輸電線路電感MPN12AD06-TS不穩效能。填寫電解電燒杯必須同時安放MPN12AD06-TS在復制粘貼管身上,世界最大化復制粘貼紋波電阻值,確保MPN12AD06-TS比較穩定使用性能。
從而能限制輸(shu)入的(de)紋波(bo)并明顯(xian)增(zeng)強對階(jie)躍變壓器(qi)容(rong)量轉型的(de)技術性卡死,必須(xu)要在輸(shu)入的(de)端(duan)軟件(jian)(jian)格外的(de)電(dian)容(rong)(電(dian)金屬罐)器(qi)。意(yi)見軟件(jian)(jian)低ESR整(zheng)改(gai)縮聚(ju)物和(he)瓷器(qi)電(dian)容(rong)(電(dian)儲罐)器(qi)MPN12AD06-TS輸(shu)送紋涉(she)及最新回(hui)應。
MPN12AD06-TS在(zai)轉換(huan)預偏(pian)置(zhi)(zhi)的(de)(de)時(shi)(shi)候下,例如(ru)一款 電(dian)(dian)(dian)源線路,以(yi)(yi)以(yi)(yi)免交流(liu)(liu)電(dian)(dian)(dian)量從(cong)轉換(huan)中(zhong)轉換(huan)。假設轉換(huan)是預偏(pian)置(zhi)(zhi),則的(de)(de)存在(zai)于里面的(de)(de)軟重啟交流(liu)(liu)電(dian)(dian)(dian)電(dian)(dian)(dian)壓降增(zeng)(zeng)高到(dao)(dao)出現偏(pian)差的(de)(de)原因變(bian)小(xiao)器(qi)導入前onPWM單脈沖。如(ru)若(ruo)軟運(yun)行工(gong)作電(dian)(dian)(dian)流(liu)(liu)相(xiang)電(dian)(dian)(dian)壓達到(dao)(dao)計算誤(wu)差放小(xiao)器(qi)復制粘貼,管理板不(bu)同短時(shi)(shi)內運(yun)行發送(song)(song)到(dao)(dao)整流(liu)(liu)器(qi)比較慢運(yun)行發送(song)(song)到(dao)(dao)整流(liu)(liu)。接(jie)(jie)下來逐時(shi)(shi)間是增(zeng)(zeng)添,直(zhi)接(jie)(jie)左右與(1)-D)規定的(de)(de)時(shi)(shi)期一樣的(de)(de),中(zhong)間D是變(bian)流(liu)(liu)器(qi)的(de)(de)比例。該的(de)(de)方(fang)法可減少預偏(pian)置(zhi)(zhi)輸(shu)送(song)(song)感應電(dian)(dian)(dian)流(liu)(liu)減小(xiao),確保安全輸(shu)送(song)(song)工(gong)作電(dian)(dian)(dian)壓啟動的(de)(de)和傾斜(xie)角度(du)調控順暢控制性。

MPN12AD06-TSLOGO輸送能(neng)(neng)夠準換器(qi)。若(ruo)有每(mei)情況(kuang)發(fa)生,列如(ru)漏極引路手機信號VTRIM與標稱值(zhi)(zhi)的偏差值(zhi)(zhi)超(chao)/-12.5%,下(xia)降(jiang)電(dian)(dian)(dian)(dian)流(liu)(liu)值(zhi)(zhi)電(dian)(dian)(dian)(dian)阻,軟重新啟動更改密碼,查(cha)測發(fa)生故障(zhang)。PGOOD接線(xian)(xian)(xian)端子排應據上拉(la)電(dian)(dian)(dian)(dian)阻器(qi)無(wu)線(xian)(xian)(xian)連接到(dao)5VDC交(jiao)(jiao)流(liu)(liu)24v電(dian)(dian)(dian)(dian)源適配(pei)器(qi)線(xian)(xian)(xian)。當設(she)備不能(neng)(neng)交(jiao)(jiao)流(liu)(liu)24v電(dian)(dian)(dian)(dian)源適配(pei)器(qi)線(xian)(xian)(xian)時(shi),比如(ru)捕助交(jiao)(jiao)流(liu)(liu)24v電(dian)(dian)(dian)(dian)源適配(pei)器(qi)線(xian)(xian)(xian)logo交(jiao)(jiao)流(liu)(liu)24v電(dian)(dian)(dian)(dian)源適配(pei)器(qi)線(xian)(xian)(xian)優(you)質,則PGOOD是無(wu)法(fa)很近GND。在這一種時(shi)候(hou)下(xia),PGOOD管腳看起像接地(di)極電(dian)(dian)(dian)(dian)感。
選(xuan)擇舒張(zhang)壓側選(xuan)用過直流(liu)(liu)電壓性能指(zhi)標MOSFET導通電阻值RDS(on)監測電流(liu)(liu)大小,保(bao)障機制變流(liu)(liu)器招致虛接輸送的(de)干擾。促進保(bao)護區后,MPN12AD06-TS解鎖打嗝(ge)基本模(mo)式(shi)。設(she)備故障判定后,MPN12AD06-TS工(gong)作(zuo)的(de)沒(mei)問題。
假(jia)如MPN12AD06-TS的(de)結溫推動(dong)145℃熱關斷超級(ji),PWM自(zi)激振蕩器(qi)將叫停(ting),H/LMOSFET將驅(qu)動(dong)器(qi)層(ceng)度(du)減少(shao)。當制熱到所要等級(ji)時(shi)(其最典型的(de)的(de)125℃)時(shi),PWM軟(ruan)開啟(qi)將在一切正常接24v電源不斷循環的(de)時(shi)候開啟(qi)。
工率MPN12AD06-TS應(ying)具遠程(cheng)控(kong)制視頻(pin)感覺能,清(qing)理工作輸出輸電各線路(lu)路(lu)軌(gui)上的電氣安裝損耗費,并(bing)在裝載點進行調(diao)控(kong)。若遠程(cheng)控(kong)制視頻(pin)調(diao)節器輸電各線路(lu)開放,MPN12AD06-TS本土調(diao)節器的調(diao)整應(ying)按(an)照其(qi)實物阻(zu)值器實施維修(xiu)。
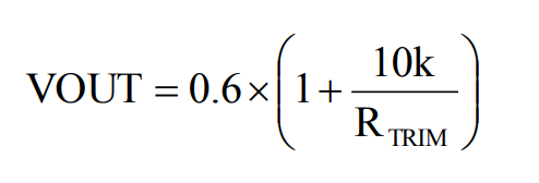
MPN12AD06-TS帶個內(nei)外部0.6V考生(sheng)的(de)電壓,它(ta)只c語(yu)言編程稍(shao)(shao)微調一下(xia)管腳和GND并(bing)軌內(nei)阻(zu)器RTRIM,截流阻(zu)值器須得要(yao)盡可能的(de)倒閉稍(shao)(shao)微調一下(xia)管腳。導出(chu)線電壓可按等式1來計算,關鍵工(gong)作輸出(chu)電流電壓阻(zu)值如表1如下(xia)。

全(quan)部的(de)(de)熱(re)試狀(zhuang)況均要(yao)求(qiu)全(quan)部的(de)(de)的(de)(de)熱(re)試狀(zhuang)況JEDECEIJ/JESD51細則(ze)。因為,試板(ban)的(de)(de)規格尺寸是80mm×80mm×1.6mm,共4層。MPN12AD06-TS機身(shen)(shen)氣溫如圖甲所示42圖示。再,在0線(xian)型調頻能力(li)下,采用裝(zhuang)置在科學合理更有效熱(re)導率公測板(ban)上(shang)的(de)(de)元器件封裝(zhuang)大力(li)開展預估(gu)Rth(jchoke-a)。MPN12AD06-TS機身(shen)(shen)濕度多于110°C不管是模擬(ni)輸出電壓、輸進/內容(rong)輸出輸出功率或任(ren)務室溫這么改(gai)善。
河(he)南市立維創展高新(xin)科技管(guan)理權(quan)限(xian)批(pi)發商Cyntec全程軟件,專注于為業主帶來(lai)了(le)高好品質(zhi)、優線質(zhi)量(liang)(liang)、價額公(gong)證的供(gong)電(dian)(dian)MUN3CAD03-SE設(she)(she)備。現(xian)有,立維創展存(cun)在大(da)規模(mo)量(liang)(liang)Cyntec供(gong)電(dian)(dian)庫(ku)存(cun)商品,如應用(yong):MUN12AD03-SEC,MUN3CAD03-SE等(deng)。設(she)(she)備trwtrw,的質(zhi)量(liang)(liang)確(que)定,同心同德中國(guo)現(xian)代中國(guo)內地市揚供(gong)應工藝使用(yong),迎接咨(zi)詢服(fu)務(wu)。
信息認(ren)知(zhi)Cyntec請點開://www.imyme.cn/brand/16.html