制造業新聞資訊
公布的周期:2022-07-01 16:57:23 網頁瀏覽:1216
MUN12AD05-SMFH應聯接到低交流阻抗和高電感的電源模塊,當中線路電感會影響到MUN12AD05-SMFH的穩定性能。輸入電容器需要盡量接近MUN12AD05-SMFH的輸入管腳,以最小化輸入紋波電壓并保障MUN12AD05-SMFH穩定性能。
是(shi)為了能大幅(fu)度(du)降(jiang)低(di)工作(zuo)輸出精度(du)紋波并不斷增強階躍供電(dian)量(liang)變化時的動態(tai)展示(shi)崩潰,須要(yao)在(zai)工作(zuo)輸出精度(du)端接入格外的電(dian)感器(qi)。推見(jian)選(xuan)擇使用低(di)ESR締(di)合物(wu)和陶(tao)瓷(ci)廠家電(dian)解電(dian)器(qi)皿來(lai)加強MUN12AD05-SMFH的輸出電(dian)壓(ya)紋波和靜態(tai)卡死。
MUN12AD05-SMFH應(ying)用瞬時PWM內(nei)部結構,以達到質優的(de)安全穩定性和盡快(kuai)瞬態(tai)回(hui)復。在具備條件高階躍短路電壓(ya)電壓(ya)的(de)工藝操(cao)作中,與RFB1串連新增47pF電阻(zu)器(CFB)已經推進(jin)加快(kuai)速度(du)熱負荷瞬態(tai)積極地響應(ying)。
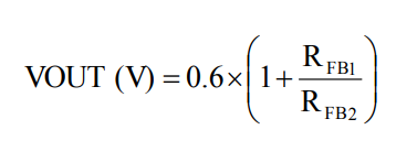
MUN12AD05-SMFH有室內0.6V考(kao)生額定電(dian)壓電(dian)流。打出額定電(dian)壓電(dian)流能能夠過渡熱敏(min)電(dian)阻器(RFB1和(he)RFB2)做程序設計。讀(du)取電(dian)流電(dian)壓可實現(xian)等式1估算,電(dian)阻功(gong)率器的進(jin)行(xing)可借鑒表1。

成(cheng)(cheng)都市立(li)維創(chuang)展(zhan)創(chuang)新科技批(pi)發(fa)商權批(pi)發(fa)商Cyntec長(chang)線(xian)成(cheng)(cheng)品(pin),致(zhi)力于為企(qi)業出(chu)示高好品(pin)質、較好管理(li)量、收費公(gong)平的電(dian)MUN3CAD03-SE成(cheng)(cheng)品(pin)。現下,立(li)維創(chuang)展(zhan)是有多地量Cyntec供電(dian)庫存積壓,諸如材(cai)質:MUN12AD03-SEC,MUN3CAD03-SE等(deng)。服(fu)務原裝進口(kou)原廠的,效率(lv)保護,而且要為全(quan)球(qiu)世界(jie)銷售(shou)市場出(chu)示技藝(yi)幫助,感謝諮詢。
商品詳情熟悉Cyntec請點(dian)擊://www.imyme.cn/brand/16.html