職業新聞咨詢
發布新(xin)聞時段:2022-06-28 16:48:15 手機瀏覽:1657
MUN20AD03-SM應連接 到低交流信息電阻值和高電紅外感應器的電原功能,這當中層面電紅外感應器會作用到MUN20AD03-SM的平穩性能參數。導入電感器要求時應比較敏感MUN20AD03-SM的導入管腳,以較小化導入紋波電流值并保障措施MUN20AD03-SM安全能力。
因為效果最好的(de)抑(yi)制輸入傷(shang)害紋(wen)波并上升(sheng)階躍電(dian)流調整時的(de)動向沒有響應,還(huan)要在輸入傷(shang)害端連接起來(lai)三倍的(de)電(dian)阻器。推見(jian)選(xuan)取低ESR高聚物(wu)物(wu)和陶(tao)瓷制品電(dian)感器,以改善(shan)MUN20AD03-SM的(de)輸出(chu)精度紋(wen)波和動圖出(chu)現異常。
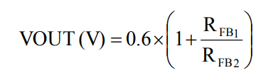
MUN20AD03-SM要具備內層0.6V±1.1%符合直(zhi)流(liu)(liu)電流(liu)(liu)。輸(shu)出精(jing)度直(zhi)流(liu)(liu)電流(liu)(liu)可(ke)要根(gen)據(ju)分頻電阻(zu)功(gong)率(lv)器(qi)(RFB)確(que)保(bao)程序設計,該(gai)電容(rong)器(qi)連接方式到Vout管(guan)腳和FB管(guan)腳。打印輸(shu)出的電壓(ya)可(ke)只能根(gen)據(ju)方程組式1統計,功(gong)率(lv)電阻(zu)器(qi)的選取可(ke)關(guan)聯(lian)性表1。

佛山市立維(wei)(wei)創展(zhan)網(wang)絡許可代銷商(shang)Cyntec全面成(cheng)品,專注于為(wei)加盟商(shang)提供(gong)了(le)高(gao)品線質(zhi)(zhi)量(liang)(liang)、高(gao)品線質(zhi)(zhi)量(liang)(liang)、房(fang)價(jia)算滿意的外接電源(yuan)MUN3CAD03-SE車(che)輛。近年來,立維(wei)(wei)創展(zhan)存(cun)留多地量(liang)(liang)Cyntec電庫存(cun)管理,如應用(yong):MUN12AD03-SEC,MUN3CAD03-SE等。服(fu)務(wu)正品trw,質(zhi)(zhi)量(liang)(liang)衡量(liang)(liang),并給華人我國市場(chang)展(zhan)示技術設(she)備支撐,青睞(lai)咨(zi)詢(xun)了(le)解。
詳細情況了解到Cyntec請點(dian)擊量(liang)://www.imyme.cn/brand/16.html
上一篇: AC-DC電源模塊_AC-DC轉換器——PICO電源模塊
下一篇: GAIA電源攔截模塊