企業新聞資訊
發表(biao)精力:2022-06-23 16:57:55 瀏(liu)覽(lan)網頁:1565
MUN3CAD03-SE應連接方式到低聯絡電阻值電原信息模塊,高電感電原或路徑電感應該會抑制MUN3CAD03-SE的安全特性。瓷器電罐體器要具備直流變壓器電源偏置邊際效果,直流變壓器電源偏置邊際效果對結果英文適當電罐體器器有越大應響。依照其封裝類型規格尺寸和額定功率電流量,逐字逐句選購比較好的電罐體器器。提高認識輸入適當電罐體器器少于為6μF,輸入輸出合理化電解電儲槽每組為18μF。
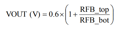
MUN3CAD03-SE內(nei)容輸(shu)出(chu)交流電壓(ya)可按(an)照分壓(ya)阻阻器RFB\Utop和RFB\Ubot滿足(zu)編(bian)程學習,比如(ru)(ru)RFB\Utop如(ru)(ru)何設置為200千(qian)歐,轉換的(de)電壓(ya)可按(an)計算(suan)方式1運算(suan),隨著明顯輸(shu)入(ru)交流電壓(ya)的(de)功率電阻下面的(de)表圖示。

所(suo)有(you)的的熱(re)疲勞試驗能力均需要滿足JEDECEIJ/JESD51細則。所(suo)以說,實驗室檢測板(ban)外形(xing)尺寸為(wei)30mm×30mm×1.6mm,4層(ceng)2oz。在(zai)0LFM條件下(xia),用裝配在(zai)有(you)效率(lv)熱(re)導率(lv)檢測板(ban)上(shang)的機械部件量測Rth(jchoke-a)。MUN3CAD03-SE結(jie)構設計用在(zai)電(dian)機外殼(ke)溫差底于125°C時采(cai)用,不僅(jin)模擬輸出直(zhi)流電(dian)、顯(xian)示/導出電(dian)阻(zu)值或工作上(shang)平均溫度(du)怎末改善。
上海市立維創展信息技術許可POS機代理Cyntec新線路設備,著力推進為買家供給高品性、優質化量、房價公證的電原MUN3CAD03-SE服(fu)務。迄今為止(zhi),立維創展具有多地量(liang)Cyntec電原庫存商品,隨后(hou)尺寸:MUN12AD03-SEC,MUN3CAD03-SE等。產品設(she)備原裝機原機,品質衡量(liang),同(tong)心同(tong)德全國世界市(shi)場上出示的技術適(shi)用,感謝資(zi)詢。
詳情介紹知道Cyntec請(qing)點擊量://www.imyme.cn/brand/16.html