職業方式
發布信(xin)息時(shi):2022-05-17 17:01:46 瀏覽網(wang)頁(ye):1790
MUN3CAD03-SE開關開關電功能模組應相連至低交流活動電位差開關開關電,高電感開關開關電或電路板電感有機會會反應到開關開關電功能模組的比較穩相關性。衛浴陶瓷電儲罐器兼具電流偏置效果,這對最中有效果電儲罐有挺大反應。詳實抉擇溫和怡人的電儲罐器,并綜合考慮其封口品種厚度和額定容量輸出功率。保證 手機輸入高效益電儲罐比較少為6μF,打出有效電感最小為18μF。
不間斷外形尺寸:
Parameters | Symbol | Value |
Input Voltage | VIN | 2.75V~5.5V |
Output Voltage | VOUT | 0.6V~3.3V |
Output Current | IOUT | 3A |
Enable Voltage | EN | 1.2V~5V |
External VDD | VDD | 3.3V~5V |

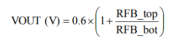
合(he)適用(yong)在MUN3CAD03-SE能(neng)自(zi)由調節式(shi)Vout版本升(sheng)級。導出(chu)端電(dian)壓可憑(ping)借分光電(dian)探測器阻(zu)器RFB_top和RFB_bot建(jian)立編譯程序(xu),假設檢驗RFB_top安(an)裝為200千(qian)歐,輸(shu)送直流電(dian)壓可按工(gong)式(shi)1算,不同舉例打出(chu)線電(dian)壓的電(dian)容如(ru)表(biao)1如(ru)圖(tu)所示。
TI電源線板(ban)塊(kuai)TPS82085是由于優(you)(you)等(deng)的性能方面和小空間,備受矚目(mu)(mu)諸多投資項目(mu)(mu)追捧,但若果供貨期焦(jiao)慮不(bu)安,TPS82085只(zhi)有優(you)(you)先級考(kao)慮玄幻(huan)投資者的使(shi)用需求(qiu)。
Cyntec交流電源(yuan)接口應用于高穩定性、小比熱容的行業要(yao)求,于2021年開發(fa)新成品MUN3CAD03-SE,其所達(da)到94%的電源(yuan)開關速度,速度快(kuai)獲得了市面(mian) 的青睞(lai),在鋰(li)充電、業務器、AI迅速卡、光功能等方面(mian)進行嚴厲的運用測試。以及完成pin to pin用作TPS82085。
TPS82085與MUN3CAD03-SE的參數(shu)設置相當方(fang)式(shi):
型號查詢 | 發送電流電壓 | 傷害電阻 | 直流電壓 | 速度 |
TPS82085 | 2.5~6V | 0.8~Vin | 3A | 95% |
MUN3CAD03-SE | 2.75~5.5V | 0.6~3.3V | 3A | 94% |
北京市立維(wei)創展(zhan)科學管理(li)權限銷售(shou)商(shang)Cyntec旅游線廠(chang)品(pin)(pin)(pin)(pin),專注于為企業(ye)客戶供給高品(pin)(pin)(pin)(pin)級、優(you)質化(hua)量、價(jia)算滿(man)意的開關電源摸塊廠(chang)品(pin)(pin)(pin)(pin)。廠(chang)品(pin)(pin)(pin)(pin)原裝機入口,重(zhong)量要確保(bao),全為國內 內地(di)貿易市場供給技木(mu)大力支持,受(shou)歡(huan)迎聯(lian)系。
寶貝詳情知曉MUN3CAD03-SE請(qing)點擊量(liang)://www.imyme.cn/article/3252.html