業手游資訊
發布了準確時間:2018-12-06 11:02:13 查看:7953
|
低調 0.3“高度 高達4瓦
無散熱片或 選項可用
|
典型特征:
檢測前提:反之另有說明書,反之壞境溫度表為25oC,插入電流電壓為特殊值。 火車線路制度:轉換同時與輸人相應應。 手機輸入電壓電流區域: 5V規格:4至6.5V DC 12V技術參數:9至15V DC 15V產品型號:12至18V DC 24V款式:17至28V DC 28V款式:21至31V DC 48V型號規格:25至50V DC 高速行駛時的傷害直流電壓容差: 5V參數±0.25V 9V型號規格±0.3V 12V和15V形號±0.4V 24V和28V產品型號±0.5V 48V機型±0.7V 轉化成器平率: 20至40 KHz 模擬輸出體溫常數: 0.02%/oC 任務的溫度: -25oC至+70oC條件溫。不必須要 cpu風扇散熱。 保存室內溫度: -55oC至+125oC 分隔: 100兆歐分鐘的英文。@ 500V DC 跳閘確保: 突然
|
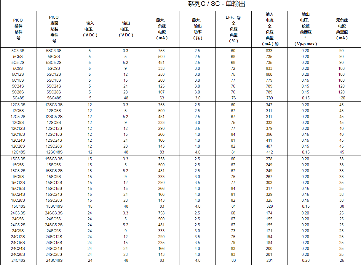
型號以及參數

猶豫通篇不多,更多的的超中型油田隔離霜式DC-DC互轉器叁數款式或是技術性使用,請單擊右邊博主認識當我們!!!
非常多有關的DC-DC裝換器貨品,請點擊量:
低壓薄型DC-DC電源模塊微型封裝單輸出100 至500 V
2.5W小型封裝高可靠性隔離式DC-DC電源模塊3.3 - 48 V